Refresher
   2,3,4,5,6,…, n  
  is  the sequence created by the rule n  + 1
un  denotes the nth term of the sequence
  so   here, u1= 2, u2= 3   etc.
A sequence can be formed by a recurrence relation.
A first-order linear recurrence relation is of the form
     
 
 , where r and d  are constants.
A series is a sum formed by the terms of a sequence.
Example
    Find the first-order linear recurrence relation 
    given by the sequence  2, 4,  10, 28

Substituting back ,

Thus  giving the first-order linear recurrence relation
  un+1  =3un -2    
If the relation from above is used with a starting value of
u1=1, then the following sequence is generated:-
1,1,1,1,……….1 and so on.
Such repetition is called a fixed point.
u1=0 generates the sequence
-2,-8,-26 etc.
Since  u1=0 and u1=2 generate sequences which diverge from 1,
    un=1  is an unstable fixed point of the relation 
un+1 =3un -2
A  stable fixed point occurs when the other sequences converge
  to  the fixed point. 
In general
un+1  = run + d    has a fixed point  when un+1 = un 
   

For a stable fixed point
  
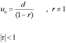
A stable fixed point is often called a limit.
An arithmetic sequence is of the form
un+3 - un+2 =  un+2- un+1  =  un+1  - un= d 
  
The common difference, d, is a constant.
The nth term of an  arithmetic sequence can  be described
    ![]()
  
where a = u1, d = common difference and n = nth term
Examples
Find the nth term of the arithmetic  sequence
    13,16,19…
Solution:
a=13 , d = 16-13 = 3

    Find the 219th term of the arithmetic  sequence
  13,16,19…
From above,

    Find the arithmetic sequence which includes
  u7 =33  and u18=88 
 and
so

solving simultaneously gives

substiting

    Given the arithmetic sequence 
    12,22,32,42,52….
  find the value of n for which un  =162 


Example
Find the sum of the first 20 terms of the 
    arithmetic sequence which starts 
    12,22,32,42,52….

Examples
Find the value of n  of the following
    arithmetic sequence such that its sum
    first exceeds 250.
12,22,32,42,52….


An arithmetic sequence exists such that 
    the sum of its first 6 terms is 93 and 
    the sum of its first 9 terms is 207.
  Find the sum of its first 4 terms.
 

  
and



When un is given, the following formula can be used:-

since
    
  
Example
    Find the sum of the first six terms of the
    arithmetic sequence which starts 3,8,13…
    given u6=28

A geometric sequence is of the form

The common ratio, r, is a constant.
The nth term of a geometric sequence  can  be described
    ![]()
  
where a = u1, r = common ratio and n = nth term
Example
Find the 12th term of the  geometric sequence
    5,20,80…

Example
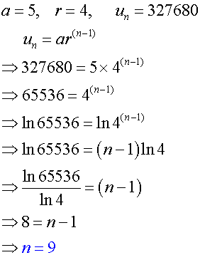
    Given the geometric sequence 
    5,20,80,…..
    find the value of n for which un  = 327680
  
Example
Given u5=1280 and u8=81920  , 
    find the geometric sequence. 



Example
Find the sum of the first seven terms of the geometric sequence
    5,20,80…

Example
Given S5=1023 and S8=65535 , find the geometric series.



Factorising


Which factorises to
![]()
This has real solutions r = 1 and r = 4
The solution r = 1 is discounted
so
