Quadratics are polynomials of degree 2.
They come in many forms, but always have a squared term.
Examples
Quadratic expression :
     ![]()
Quadratic equation:
      ![]()
Quadratic function :
  ![]()
Quadratic graph :
![]()
Quadratic inequation:
![]()
Quadratic mapping :
  ![]()
   Quadratic graphs  have a distinctive U shape
     called a parabola.
Positive parabolas smile :
 y = ax2
Negative parabolas frown !
 y = - ax2
Pick values for x and put them into a table.
Work out the corresponding for y .
Plot these points and join with a smooth curve.
Example
Complete the table of values for the
equation           y = x2


 




Plotting these points and joining with a smooth curve gives

Notice how the graph is symmetrical !
Example
Complete the table of values for the
  equation           y = -5x2







Plotting these points and joining with a smooth curve gives

Again, notice how the graph is symmetrical !
Example
Find the equation  of the following parabola
        of the form y = ax2

The graph is  of the form y = ax2
  The given  co-ordinate is ( 2, 1 )
So x = 2 and  y = 1 are on the curve
Substitute and solve

Example
Complete the table of values for the
  equation y= (x-2)2

 
 


Plotting these points and joining with a smooth curve gives
  
This time,the graph is symmetrical when x=2
The turning point is (2,0)
 The axis of symmetry is the b
in the equation   y = a(x-b)2
Example
Find the equation  of the following parabola
        of the form y = a(x-b)2

The graph is  of the form y = a(x-b)2 
  The given  co-ordinate is ( 2, 3 )
  So x = 2 and  y = 3 are on the curve
Substitute  and solve

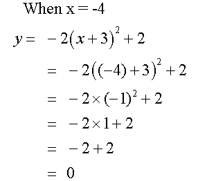
Example
Complete the table of values for the equation
    y= -2(x+3) 2+ 2

 
 
 



Notice that the axis of symmetry is x = - 3
Example
Find the equation  of the following parabola
        of the form y = a(x-b) 2 + c

The graph is of the form y = a(x-b)2 + c
  The given  co-ordinate is ( -3, -2 )
  So x = -3  and y = -2 are on the curve 
  From the  graph, b = -2 since it is the axis of symmetry.
Substitute x= -3, y=-2 and b = -2

The point (-2,-5) is also on the curve.

So c = -5
Substitute into -2 = a +c

Substituting a, b and c into the original equation
      y = a(x-b)2 + c 
![]()

This is a quadratic in completed square form.
Example
Find the axis of symmetry of the line y = x2+3x+2

The axis of symmetry is x = -3/2
Example
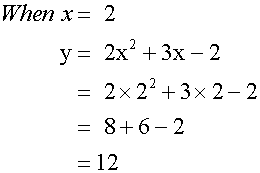
Complete the table of values
  for the equation  y= 2x2+3x - 2

 
 



Positive parabolas have a minimum turning point.
Example
Find the turning point of the quadratic
y = x2 + 3x + 2

The turning point occurs on the axis of symmetry.

Negative parabolas have a maximum turning point.
A  root of an equation is a value that will satisfy 
the  equation  when its expression is set to  zero.
Eg 0 = x2 +2x -3
The maximum number of roots possible
  is the same as the degree of the polynomial,
  so a quadratic can have a maximum  of two   roots.
  Not all quadratics have roots.
To find the roots of a quadratic,
  Sketch the graph and see where it cuts the x axis.
Or
Set y = 0 and factorise (If possible)
Example

From the graph, the   equation y = x2 + 2x –3 has roots
   x = -3 and x = 1
This is the same as setting y to zero and factorising:-
      
  
Either bracket can equal 0 , so both must be considered:

To sketch the graph 
    y = ax2  + bx + c  
Remember : Shape, roots, turning point, y-intercept.

Example
Sketch y = x2 - 2x - 3
This will be a U shape, since a = 1
It will cut the y-axis at (0,-3)
  



Example
Sketch y = 3-2x-x2
      
                 
This will be a ∩ shape, since a = -1
It will cut the y-axis at (0,3)



Standard form Quadratic equations are of the form
![]()
To find the solution of a quadratic equation :
Rewrite the expression in standard quadratic form
Factorise if you can:
{Remember to look for common factors and the difference of two squares}
Use the quadratic formulae
 
Examples
Solve 3x - 6x2 = 0

Solve 49 - 9x2 = 0

Solve 15x2 - x - 6= 0

Solve 15x2 - x +1= 7

If the quadratic does not factorise,
try the quadratic formula :

Examples
Solve 2 + 4x -5x2 = 0
Give your answer as a surd.


Example
Find the roots of 2 + 4x -5x2
Give your answer correct to two decimal places.






Examples
     
  Discriminant
  b2– 4ac 
  = 32- 4x1x4
  = 9 – 16
= - 7
b2 – 4ac < 0
No real roots

b2  – 4ac 
  = 32- 4x1x(-2)
  = 9 +8
= 17
b2 – 4ac > 0
  Two distinct, real roots

  b2 – 4ac 
  = 62- 4x1x9
  = 36 – 36
= 0
b2 – 4ac = 0
Roots are equal and real
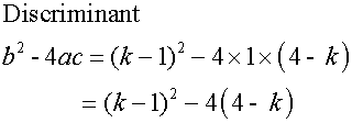
Working Backwards
Example
  The roots of   ( x – 1)( x +  k) = -4  are equal.
  Find the values of k.
First multiply out the brackets
    
  


 A tangent to a curve  touches the curve at one point only.
  To  test for tangency, set the two functions equal to each other 
  and  find the resulting discriminant.
Examples





