A power series centred at c may be written
![]()
When c = 0 , the power series is

let
![]()
Differentiate and set x to zero:-
![]()
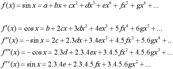
![]()
And again,using a dot to show multiplication
![]()

and again,
![]()

and again,
![]()

etc.
Substituting back into the original series

Giving Maclaurin’s series


Which has valid values for x when

Example
Find the Maclaurin expansion of
f(x) = (1+x)n




Which is the Binomial series
Example
Find the Maclaurin expansion of
f(x)=(1-x)n

Example
Use the Maclaurin Series to find a series for
f(x) = sinx



Example
Use the Maclaurin Series to find a series for
f(x) = (1+x)1/4



Example
Find the Maclaurin expansion of
f(x)=ex











Examples
Find the first five terms of a power series for e3x+6

Find the first four terms of a power series for cos3x

Express the following as a power series in x:-


Example
Calculate sin0.6 correct to five decimal places

