Example
Fred knows that the code to his locker is made up of the digits 5,6, 7 and 8 , but he can’t remember the order. How many different possible codes exist to open his locker ?
There are 4 ways of listing the first number,
5*** 6*** 7*** 8***
and 3 ways of listing the second number.
56** |
65** |
75** |
85** |
57** |
67** |
76** |
86** |
58** |
68** |
78** |
87** |
This leaves 2 ways of selecting the third number
567* |
657* |
756* |
856* |
568* |
658* |
758* |
857* |
576* |
675* |
765* |
865* |
578* |
678* |
768* |
867* |
586* |
685* |
785* |
875* |
587* |
687* |
786* |
876* |
Finally, this leaves only one way of selecting the last number.
5678 6578 7568 8567
5687 6587 7586 8576
5768 6758 7658 8657
5786 6785 7685 8675
5867 6857 7856 8756
5876 6875 7865 8765
There are 24 possible codes.
4x3x2x1=24
This is called 4-factorial and is written 4!
0! = 1 By definition
1! = 1
2! = 2X1=2
3! = 3X2X1 = 6
4! = 4X3X2X1=24
5! = 5X4X3X2X1 = 120
In general
n! = nx(n-1)x(n-2)x(n-3)………x3 x 2 x1
so

Likewise

so


Note,
5 x 4! = 5x 24 = 120 = 5!
n x (n-1)! = n! so (n-r+1)x (n-r)! = (n-r+1)!
A permutation is an ordered arrangement of objects, in which order matters.
A group of n different objects has n! possible permutations .

A combination is an arrangement of objects where order does not matter.

Example
There are 56 ways of choosing 5 different tins of catfood from 8 brands, but 6720 ways of ordering them!





The triangle is built by adding the row above.

This can be written nCr , where n is the row, r is the column

Notice how3C3=3C0 = 1

and 3C2=3C1 = 3

and 4C3=4C1= 4

Also, notice


and


The coefficients are known as binomial coefficients.
nCr can be written in the form
where n is the row and r is the column in pascal's triangle

So for the example given above



Notice that

Properties to learn




Example
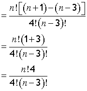
Show that

where n ≥ 4
Start by writing out the left-hand side in the form
:

multiplyingthe second term by 1 in the form of (n-3)/(n-3) gives

which reduces to

since (n-3)!= (n-3)(n-4)!
Now the denominators are the same

take out common factor n!

finally,

Example
Solve the equation

From the properties above, since

Solution

Alternatively,

tidy up

make equation and solve

Example
Solve the equation


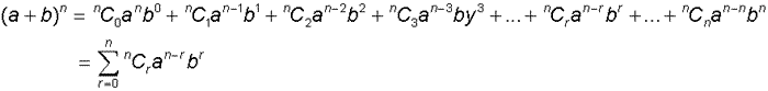
Example

Notice that the powers of x and y both add up to 5, and that as the powers of x decrease from 5 to 0, the powers of y increase from 0 to 5.
In General




This is known as the binomial theorem, and gives the expansion of (a + b)n , where a and b are real numbers and n is a natural number.
The binomial coefficients are found in the nth row of Pascal’s triangle.

Examples
Expand the following:


The binomial theorem allows a specific term to be found from the general form.


Example
Find the seventh term in the expansion of (2x +3y)9

Find the term containing x3 in the expansion of (3 +2x)5


Example




Examples
