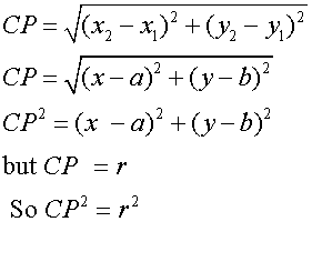
A circle is defined as the locus of all points P(x,y) that are a constant distance from a given point.
In the diagram below, for every position of P, CP = r

From the distance formula,
    




Example
Write the equation of the circle with centre (5, -6) and radius 3√3.

                                              
Example
    Show that the point B (2,5) lies on the circle
    ![]()
    
  

Example
Find the equation of the circle on the line
    joining A(-2,5) to B ( 4,3) as diameter.
  


Hence the centre of the circle is C (1,4)
       





Example
 Find the radius  and centre of the circle with equation 
   ![]()


Example
Does the equation
![]()
represent a circle ?

Example
  Find a possible  range for the value of k in the circle
![]()

Example
Find where the  line y=2x+8 meets the circle 
    x2 + y2 + 4x + 2y -20 = 0 
First,substitute y=2x+8 into the circle equation:
    
  
The line and circle meet at ( - 6, - 4) and ( -2 , 4)

Example
  Show that the line 3x + y =  -10 is a tangent to the circle
  x2 +y2 -8x + 4y -20 = 0 and find the point of contact.
Steps
y = -3x -10

Alternatively, use the discriminant at this point:


