Perimeter = distance around the edge.

You could walk around the perimeter.
Don't mix cm with m.
Example
P = 5 + 2 + 2 + 3 + 9 + 3 + 2 + 2 cm
P = 28 cm
Area = floor space covered

You could paint an area.
Don't mix cm with m

1m2 = 10,000 cm2


Example
Calculate the area of the square


Examples
Calculate the area of the rectangles


Area of a triangle = ½ x base x perpendicular height


Examples
Find the area of the triangle below:

What is the length of the base of the triangle, if it has an area of 45 cm2 ?


Area of a triangle - using Trigonometry

Examples at Area of a circle


Example
Calculate the area of the following kite:



Area of a trapezium = ½ x average of base x perpendicular height

Example
What is the area of this trapezium ?
(Each square represents 1 cm2 )




Example
Calculate the area of the parallelogram :



Example
Calculate the area of the rhombus:
( The sizes are for the complete diagonals)


Volume = capacity held

You could fill a volume
Don't mix cm with m.
Notice that for a cuboid
Example
Calculate the volume of the cuboid below:

Example
Converting 1m3 to litres

First, convert the units

But 1 cm3 = 1 ml and 1000 ml = 1litre
Divide cm3 by 1000 for litres.
So 1 000 000 cm3 = 1000 litres
1 m3 = 1000 litres
A sphere has volume

Where r is the radius of the sphere.
Examples
Calculate the volume of the following sphere.
Give your answer correct to 1 dp and also to 2 sig figs.

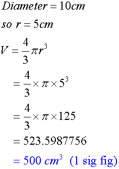
Calculate the volume of the following sphere.
Give your answer correct to 1 sig fig.

Calculate the diameter of a sphere which has a volume of 700cm3.
Give your answer correct to 1 dp.

A cone has volume

Where r is the radius of the circular part of the cone and h is the perpendicular height of the cone.

Example
Calculate the volume of an ice cream cone which has a diameter of 4cm and a height of 6cm. Give your answer correct to 1 dp.

How many of these cones can be filled from 1litre of ice cream ?
1000 cm3 = 1 l
1000 ÷ 25.1 = 39.84
So 39 cones can be filled from one litre of ice cream.
Example
Calculate the height an ice cream cone which has a diameter of 4cm and a volume of 35ml. Give your answer correct to 1 dp.

The cone is 8.4 cm tall.
Example
Calculate the diameter of an ice cream cone which has a height of 8cm and a volume of 90ml. Give your answer correct to 1 dp.

So Volume = Area x height (or Area x Length if laying down)
Example
What is the volume of a prism which has an area of 37 cm2 and a height of 4 cm ?

A cylinder is a circular prism,


Example
Calculate the volume of a tin can which has a height of 0.8m and a diameter of 10 cm. Give your answer correct to 1 sigfig.
<br>
This is 6 litres, since 1000cm3= 1 litre
Example
Calculate the diameter of a tin can which has a height of 8cm and a volume of 90ml. Give your answer correct to 1 dp.

The volume of any pyramid is given as
where A is the area of the base of the pyramid and h is its height.
Examples
What is the volume of this squared based pyramid ?

What is the volume of this rectangular based pyramid ?

What is the volume of this triangular based pyramid ?

The surface area is the total external area
of the shape.
Example
Find the surface area of the cuboid :

This shape has 6 faces
2 faces have area 6cm x 4cm
2 faces have area 6cm x 2cm
2 faces have area 2cm x 4cm
2 x 6cm x 4cm = 48 cm2
2 x 6cm x 2cm = 24 cm2
2 x 2cm x 4cm = 16 cm2
Surface Area = 88 cm2
Surface Area ≠Volume
Cut into convenient shapes
Find missing dimensions
Calculate individual areas
Calculate total
Remember
all dimensions must have the same units !
Example
A shape = A 1 + A 2
A 1 = 5x2 = 10 cm2
A 2 = 3x9 = 27 cm2
A shape = 37 cm2
Cut into convenient shapes
Find missing dimensions
Calculate individual areas
Calculate total
Example

