
Fractions are related to
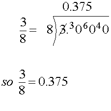
Just divide the top number (numerator)
by the bottom number ( denominator)
then multiply by 100 and add a % sign
Examples

Alternatively, convert the fraction so that the bottom number is 100, then write the converted top number with a % sign

Just divide the top number (numerator)
by the bottom number ( denominator)

Just divide the number by 100 and lose the % sign !
Examples
60 % = 0.6 45% = 0.45 125% = 1.25
6 % = 0.06 6¾ % = 0.0675
Write number over a denominator of 100
simplify as best as you can
Examples

Just multiply the number by 100 and add a % sign !
Examples
0.21 = 21% 0.128 = 12.8% 0.5 = 50 %
4.125 = 412.5% 1.75 = 175 %
1.78 = 178 % 5.128 = 512.8% 2.5 = 250 %

Write down the number without the decimal point
If one digit - put over 10,
If two digits – put over 100
If three digits – put over 1000,
If four digits – put over 10000 etc.
Simplify !
Examples


