Circles could touch internally,

Externally,

Or not at all



Example
Do the circles with equations 
    ![]()
    and 
    ![]()
   touch ?
The  first circle, C1, has centre A(-3 , 2)
   and radius ![]()
The  second circle, C2,has centre B(6, -1)
   and radius ![]()
Using the distance formula,


Since AB = r1 +r2, the circles touch externally.

Example
Do the circles with equations 
    ![]()
    and 
    ![]()
   touch ?
The  first circle, C1, has centre A(4, 2)
   and radius r1 = 3
The  second circle, C2,has centre B(5, 2)
   and radius r2 = 2
Using the distance formula,


        
  Since  AB = r1 - r2, the circles touch internally.
Example
In the diagram below, the point C(-1,4) is the point 
    of contact of the two circles.
    Given that the radius of the larger circle is twice 
    the size of the radius of the smaller circle, find
    the equation of the small circle.

Since  C  is   point of contact for both circles,
    distance  AC must be the radius of the large circle
  and  CB the radius of the small circle.
Using the distance formula,

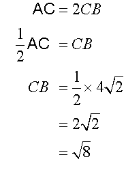
Given that AC =2CB

The  centre of the smaller circle can be found by
    finding  the distances along and up for the larger
    circle,  halving these distances (since half the radius)
  and  applying to point C.
This is called the stepping out method.
From  the distance formula for AC, (above)
    the  step out is 4 along and 4 up.

The  next step out must be 2 along and 2 up 
    from  point C.

Which gives the point B(1,6)
The equation of the small circle is
![]()
Alternatively,using the section formula

gives 
  


The equation of the small circle is
![]()