A proper rational function is one in which
the degree of the numerator is less than
that of the denominator.
eg. 
All others are termed improper.
These can be simplified through long division.
Example


so



Partial fractions are decomposed components of a fraction

since

The steps taken to find the partial fractions depend on the original function
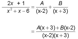
Example

First,write the denominator in factorised form:

Now set this equal to two partial fractions

Thus

This is an identity,
so A and B can be found by comparing co-efficients
![]()
Now pick values of x to find A and B

Substitute back into equation

Example


so
![]()
comparing co-efficients

giving

This occurs if the discriminant of the denominator is less than zero.
Example


so
![]()
comparing co-efficients

giving

The degree of the numerator must be lower than than that of the denominator. If not, divide!


Example



Example
Find the integral

First, find the partial fractions

![]()


Now integrate

Example
Find the integral


![]()


Now integrate

Example
Find the integral


![]()


Now integrate


Example
Find the integral




so
![]()
giving

Now integrate
