Example
In the following graph, a vehicle is travelling
  at  a constant speed of 4m/s  for 
  a time duration of 5  seconds.

What distance is travelled by the vehicle ?
Distance = Speed x Time
  so    D = 4 m/s x 5 s
             = 20 m                  
If we calculate the area of the graph,
  then A = LB
          A =5  x 4
           A =  20 units2
Example
In the following graph, a vehicle starts at rest,
  accelerates to a speed of 4m/s after  3 seconds,
  maintains this speed for 3 seconds  then decelerates 
   to a standstill  over a  time duration of 45 seconds.

What distance is travelled by the vehicle ?
This time, there are 3 distinct areas to consider:-



Total area = 26 units2
  The vehicle travels 26 m.
How can this be checked ?

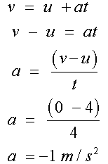
where

For the left hand triangle

 
so

For the rectangle
 
For the right hand triangle
 

so

The vehicle does indeed travel 26 m.
Example
In the following graph, a vehicle starts at rest
 and accelerates : 

What distance is travelled by the vehicle during the first 4 seconds ?
This is more of a challenge.
  Split the curve into intervals of ½  seconds and draw
  rectangles to find upper  and lower bounds of the area. 
v = 0.5t2
Time (s)  | 
    t  | 
    0.5  | 
    1  | 
    1.5  | 
    2  | 
    2.5  | 
    3  | 
    3.5  | 
    4  | 
  
Speed (m/s)  | 
    v  | 
    0.125  | 
    0.5  | 
    1.125  | 
    2  | 
    3.125  | 
    4.5  | 
    6.125  | 
    8  | 
  
The lower bound of the area under the curve
  is the sum of  the areas of the rectangles drawn to 
  the right of the  curve.

  
Area =  0.5(0+0.125+0.5+1.125+2+3.125+4.5+6.125)
  Area = 0.5 x 17.5 = 8.75 units2
The upper bound of the area under the curve
  is the sum of  the areas of the rectangles drawn to 
  the left of the  curve.
      
   Area = 0.5(0.125+0.5+1.125+2+3.125+4.5+6.125+8)
   Area = 0.5 x 25.5 = 12.75 units2
The true area under the graph lies somewhere
  between these two  values.
Increasing the number of rectangles helps:-


 Eventually, both the upper and lower bounds  converge to a limit.
  This limit is the area under the  graph.


Here, the area is converging to 10.67 units2
The area  between the graph of the function y = f(x)
  and the x-axis, starting at x = 0 is called the area function A(x)