
Example
Given f(x) = x6, find f’(x) and state the
derivative of f-1(x).

so

Example
Given f(x) = 3x-2, find f’(x) and state the
derivative of f-1(x).



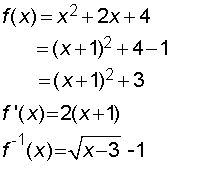
Example
Express f(x) = x2 + 2x + 4 , x ≥ 4, in the form p(x + q)2 + r
Find f’(x) and state the derivative of f-1(x).


Example
Express f(x) = 4x2 +2x + 4 , x ≥ 4, in the form p(x + q)2 + r
Find f’(x) and state the derivative of f-1(x).




Proof

Given f(x) = sinx for the interval
,
find the derivative of f-1(x).

The given interval allows the existance of a right-angled triangle with opposite side length x units and hypotenuse 1 unit.



Given f(x) = cosx for the interval 
, find the derivative of f-1(x).


The given interval allows the existance of a right-angled triangle with adjacent side length x units and hypotenuse 1 unit.



Given f(x) = tanx for the interval 
, find the derivative of f-1(x).


The given interval allows the existance of a right-angled triangle with opposite side length x units and adjacent side length 1 unit.






Don’t forget the chain rule!!
Example





Example
Find the integral
Example
Find the integral

Example
Find the integral

