Example
Simplify

The task here is to find a way to breakdown the fraction, so that it can be divided by a common factor.
Here, a common factor of 4 exists

top and bottom are now divided by 2

leaving 2(x +2) as the answer.
Likewise,

Sometimes, a line must be factorised first, using a difference of two squares if necessary:

or

Example

Get rid of the bottom numbers (denominators) by multiplying through on both sides:

Use the normal rules for fractions.
To add or subtract fractions, the denominators must be the same.
Examples
Simplify

Normal way,

Multiply bottom numbers (denominators), cross multiply and add:

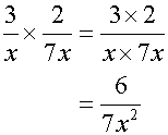
Example


again, same question but done the vedic way :

Remember that to multiply fractions, just multiply the tops( numerators) and then multiply the bottoms (denominators).
Don't forget to simplify if possible.
Example
Simplify


Another example,

When dividing frations, remember to turn the second fraction upside down and turn the sum into a multipication.
Examples


Or the alternative way:



can be simplified using the multiplicative identity



Examples
1.
2.
3.

Alternatively, by using a combination of
vedic fraction addition and the alternative
method of fraction division :
1.

2.
3.