Perpendicular means to cross at right angles.
To bisect means to cut into two parts of equal shape and size.

A perpendicular bisector cuts a line in half at 90 degrees.
Example
Find the equation of the perpendicular bisector
of the line joining A(0,3) and B(5,4)

Find the Midpoint of AB

Use this to find the gradient

Now find the equation

Lines are said to be concurrent if they pass through one common point.

Lines AB, DE and FG are all concurrent, sharing the common point O.
The perpendicular bisectors of a line are concurrent.
In a triangle, the point of intersection of the perpendicular bisectors is called the circumcentre.

The circumcentre is equidistant from the three vertices.
The circumcircle of a triangle is the circle which passes through all the vertices of the triangle and has its centre at the circumcentre.

Example
Find K, the circumcentre of the triangle formed by the points
A(-5,2) , B(0,7) and C (2,0)
Steps
Solution:
The midpoints are



Now find the gradients



To get the equations of the perpendicular bisectors



Now solve the sets of equations






An altitude of a triangle is a line drawn from a vertex perpendicular to the opposite side. Since a triangle has three sides, it also has three altitudes.
The altitudes are concurrent and meet at the orthocentre of the triangle.

Example

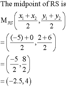
Triangle RST has co-ordinates
R(-5,2) , S (0,6) and T( 3,-4)
Find the equation of the altitude from S.
Solution
The altitude from S is perpendicular to RT.


A median of a triangle is a line from a vertex to the midpoint of the opposite side.
A triangle has three medians, which cross at the centroid.

The Centroid splits the median in the ratio 1:2
Example
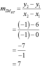
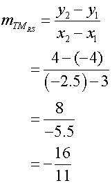
Triangle RST has co-ordinates
R(-5,2) , S (0,6) and T( 3,-4)
1. Find the equation of the median from R.
2. Find the equations of the median from S.
3. Find the equation of the median from T.
4. Hence find the centroid of triangle RST

1.
First, find the midpoint of ST

Now find the gradient of this line

Use to find equation

The median from R has equation
13y = -2x +16
2. Repeat for S



The median from S has equation
y = 7x +6
3. Repeat for T



The median from T has equation
11y = -16x + 4
4. Centroid is at the intersection of the three medians.
Equating medians from R and S gives

or Equating medians from T and S gives

or Equating medians from R and T gives

To find y, substitute x = -2/3 into a median equation :

or

or

Centroid is at ( -2/3 , 4/3 )
