Harmonic motion occurs when a particle undergoes oscillating or periodic motion. The frequency of the motion is the number of oscillations per second. The SI unit for frequency is the hertz (Hz), which is 1 oscillation per second.
The period of the motion, T, is

where f is the frequency.
Simple harmonic motion occurs when the magnitude of the acceleration of the particle is proportional to the distance from the fixed point and acts in the opposite direction to the displacement. Simple harmonic motion is sinusoidal.

As the particle moves from P to O and back again, its motion in the x direction can be graphed as a function of time :


The particle's speed is greatest at the midpoint and zero at points O and P.
Acceleration is shown as the blue line.

The displacement is a cosine graph.

The following represents the displacement of the particle from the midpoint in the x direction as it bounces between the limits O and P. Timing is started at the midpoint, with the particle headed towards P.



The displacement is a sine graph.

In either case,
![]()
Which gives the differential equation
![]()
or

where n is the number of cycles in the period.
As the particle moves, the angle moves.

The difference between the old and new angle is called angular displacement:
![]()
The rate of change of angular displacement is called angular frequency.

Since simple harmonic motion is sinusoidal,

The period is

This can be written as

and substituted into

giving

Working backwards

so

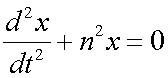
Further, when v = 0, the particle is at a maximum or minimum. The displacement is equal to the amplitude, a.

Replacing n with ω
![]()
Since the maximum speed occurs when the particle is at the midpoint,

or

also



renaming the constant of integration as ε gives

Further,

so
![]()
or
![]()
Where ε is the phase angle, a is the amplitude and n is the number of cycles in the period. (ω is the angular frequency.)
The velocity is
![]()
or
Where ε is the phase angle.

compare to Hooke's Law
![]()
The spring constant is

so



Example
A tub of mass 650g is attached to a spring with spring constant 65 N/m. The tub is displaced 11cm from its equilibrium position of x = 0 and released at time t = 0.
Calculate the angular frequency, frequency and period of the motion.


