The theoretical mechanical advantage of a system is the ratio of the force that performs the useful work to the force applied, assuming there is no friction in the system.

Velocity ratio is defined as the ratio of the distance moved by effort and load, in the same time interval.

The work (W) done by a constant force of magnitude F on a point which undergoes a displacement (s) in a straight line in the direction of the force is
![]()

A one wheel pulley allows the direction of force to be changed.
The force required - and work done - remains the same.

Pulling down 1m of rope raises the load by 1m.
The velocity ratio is 1.

Looking at a loaded pulley

The tension, T, remains the same throughout the string.

What happens next depends on the values of M1 and M2
If M1 > M2

M1 moves down, causing M2 to rise.
This causes downwards acceleration of load M1
and
upwards acceleration of load
M2

and


If M2 > M1

M2 moves down, causing M1 to rise.
This causes downwards acceleration
a2
and upwards acceleration a1



Example
Find the downwards acceleration of the block:


Alternatively, from the diagram


Pulling down 1m of rope raises the load by 0.5m




Effort = 1/2 the load!
If a pulley system is perfectly efficient the mechanical advantage and the velocity ratio are both equal to the number of pulleys.
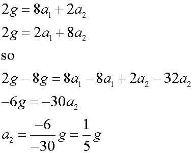
Example
Calculate the acceleration of the load and the tension in the system.





Example
Calculate the acceleration of the moveable pulley and the tension in the rope.






so

