Indices are sometimes called powers or exponents.

For example, if y = 42
then 4 is the base and the power, or index, is 2.

Indices obey laws :-
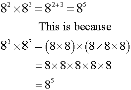
Rule 1
![]()
Example

Rule 2
![]()
Example

Rule 3
![]()
Example

Rule 4

Example

Rule 5

Example

Examples





A surd is an expression involving unresolved roots of numbers.
To simplify surds, split the number into factors involving square numbers.
Examples


Rule 1
![]()
Example

Rule 2
![]()
Example
![]()
Rule 3

Example

Rule 4

Example

Rule 5

This is called rationalizing surds ,
the bottom number does not have any square roots.
Examples


Rule 6

Example

Surds are useful when finding exact values.
Examples
Calculate the exact value of the side marked x in the following triangle :-


Is the following triangle a right-angled triangle ?
Justify your answer.


Calculate the exact value of the area of the following triangle.
Give your answer in its simplest form.


This requires the base , x cm , to be found.

