An explicit function is one which is given in terms of
the independent variable.
Take the following function,
y = x2 + 3x - 8
y is the dependent variable and is given in terms of the
independent variable x.
Note that y is the subject of the formula.
Implicit functions, on the other hand, are usually given in terms
of both dependent and independent variables.
eg:- y + x2 - 3x + 8 = 0
Sometimes, it is not convenient to express a function explicitly.
For example, the circle x2 + y2 = 16 could be written as
or ![]()
Which version should be taken if the function is to be
differentiated ?
It is often easier to differentiate an implicit function without
having to rearrange it, by differentiating each term in turn.
Since y is a function of x, the chain, product
and quotient rules apply !
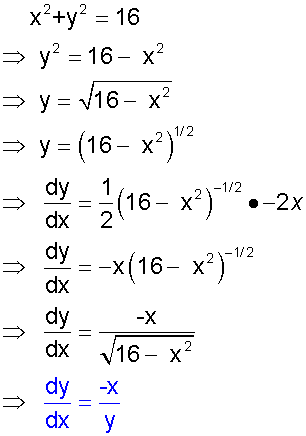
Example
Differentiate x2 + y2 = 16 with respect to x.

Compared to

Example
Differentiate 2x2 + 2xy + 2y2 = 16 with respect to x.

Example
Find the gradient of the tangent at the point R(1,2)
on the graph of the curve defined by x3+ y2= 5, and determine
whether the curve is concave up or concave down at this point.


Divide through by y

Now substitute to find the particular solution

