The following examples all use this graph as the given y=f(x)

This has the effect of making the y co-ordinate the negative of whatever it was.

Example



Note that the x co-ordinate is untouched.
This has the effect of making the x co-ordinate the negative of whatever it was.

Example
.jpg)


Note that the y co-ordinate is untouched.
This has the effect of shifting the entire graph horizontally left or right.

Remember to go the opposite way to the sign,
so for (x - c) go right c spaces 
 
and for (x + c) go left c spaces.
Note that the y co-ordinate is untouched.
Example


Example
.jpg)
coo.jpg)
This has the effect of shifting the entire graph vertically up or down.

If y=f(x) + d go up d spaces
 
y=f(x) - d go down d spaces.
 
Note that the x co-ordinate is untouched.
Example


This has the effect of squashing the graph horizontally when b > 1 and stretching it horizontally when b< 1.

If y = f(bx) divide the x cordinate by b.  
    
If y=(x/b) multiply the x co-ordinate by b. 
 
  
Note that the y co-ordinate is untouched.
Example

 
Example


This has the effect of stretching the graph vertically when a > 1 and squashing it vertically when a < 1.

If y = af(x) multiply the y cordinate by a.

If y = (x/a) divide the y co-ordinate by a.

Note that the x co-ordinate is untouched.
Example


Example



![]()
Apply in order c , b , a and finally d
so
Example
Given y = f(x) as above , draw the graph y = 3f(2x-2) +4
Comparing the graph with the general form

Taking point ( 0 , - 4)

Point ( 1,0)

Point (3 , - 4)


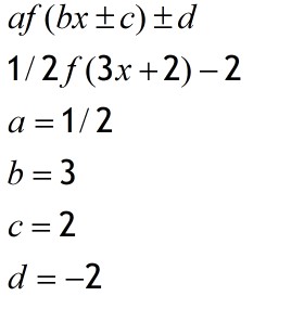
Given a translated function,
work backwards to get the original y = f(x)
Instead of  applying in order  c , b , a ,d
  apply in order d, a, b, c   but backwards
  
Example
The points  (0 , -3 ) and ( 1, 6 ) lie on the graph with equation 
 
y = 1/2f(3x + 2 ) -2 .
Find their corresponding original co-ordinates on the graph y = f(x)


Point (0 , - 3)

Point (1 ,6)

The original point (5 , 16 ) has been translated to ( 1, 6)
and original point ( 2 ,-2) has been translated to ( 0 , -3 )
if it exists
Note that the values of the x and y co-ordinates are swapped, since y = x
Example

y=│f(x)│
The entire graph is above the y-axis
Example
