Maths Mutt HOME

Derivatives

Derivative Notation

Different ways to write a derivative all mean the same thing, but each is useful in different contexts.

Newton notation: \(f'(x)\)

This form is compact and works best when the dependent variable is already understood to be a function of \(x\). It is ideal for quick calculations, simple functions, and general differentiation rules such as the power rule.

Leibniz notation: \(\dfrac{dy}{dx}\)

This form shows explicitly how one variable changes with respect to another. It is especially useful in problems involving multiple variables, related rates, implicit differentiation, and the chain rule, because the notation keeps track of which variable depends on which.

Operator notation: \(\dfrac{d}{dx}(\,\cdot\,)\)

This treats differentiation as an operator acting on an expression. It is the most flexible form when applying rules to whole expressions, such as \[ \frac{d}{dx}(uv),\qquad \frac{d}{dx}(f(g(x))),\qquad \frac{d}{dx}\left(\frac{u}{v}\right). \] It is also the natural form for defining rules like the product, quotient, and chain rules.

The following rules are presented in all three forms

Constant Rule

\[ f(x) = c \]
\[ f'(x) = 0 \] \[ \frac{dy}{dx} = 0 \] \[ \frac{d}{dx}(c) = 0 \]

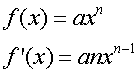
Power Rule

\[ f(x) = x^n \]
\[ f'(x) = n x^{n-1} \] \[ \frac{dy}{dx} = n x^{n-1} \] \[ \frac{d}{dx}(x^n) = n x^{n-1} \]

Constant Multiple Rule

\[ f(x) = k g(x) \]
\[ f'(x) = k g'(x) \] \[ \frac{dy}{dx} = k \frac{dg}{dx} \] \[ \frac{d}{dx}(k g(x)) = k \frac{d}{dx}(g(x)) \]

Shifted Power Rule

\[ f(x) = (x + b)^{n} \]
\[ f'(x) = n(x + b)^{\,n-1} \] \[ \frac{dy}{dx} = n(x + b)^{\,n-1} \] \[ \frac{d}{dx}\big((x + b)^{n}\big) = n(x + b)^{\,n-1} \]

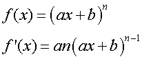
General Chain–Power Rule

\[ f(x) = (ax + b)^{n} \]
\[ f'(x) = a n (ax + b)^{\,n-1} \] \[ \frac{dy}{dx} = a n (ax + b)^{\,n-1} \] \[ \frac{d}{dx}\big((ax + b)^{n}\big) = a n (ax + b)^{\,n-1} \]

Sum & Difference Rule

\[ f(x) = g(x) \pm h(x) \]
\[ f'(x) = g'(x) \pm h'(x) \] \[ \frac{dy}{dx} = \frac{dg}{dx} \pm \frac{dh}{dx} \] \[ \frac{d}{dx}\big(g(x) \pm h(x)\big) = \frac{d}{dx}(g(x)) \pm \frac{d}{dx}(h(x)) \]

Chain Rule

\[ f(x) = g(h(x)) \]
\[ f'(x) = g'(h(x)) \cdot h'(x) \] \[ \frac{dy}{dx} = \frac{dy}{du} \cdot \frac{du}{dx} \] \[ \frac{d}{dx}(f(g(x))) = f'(g(x)) \cdot \frac{d}{dx}(g(x)) \]

Product Rule

\[ f(x) = u(x)v(x) \]
\[ f'(x) = u'v + uv' \] \[ \frac{dy}{dx} = u \frac{dv}{dx} + v \frac{du}{dx} \] \[ \frac{d}{dx}(uv) = u \frac{d}{dx}(v) + v \frac{d}{dx}(u) \]

Quotient Rule

\[ f(x) = \frac{u}{v} \]
\[ f'(x) = \frac{u'v - uv'}{v^2} \] \[ \frac{dy}{dx} = \frac{v\frac{du}{dx} - u\frac{dv}{dx}}{v^2} \] \[ \frac{d}{dx}\left(\frac{u}{v}\right) = \frac{v\,\frac{d}{dx}(u) - u\,\frac{d}{dx}(v)}{v^2} \]

Exponentials and logs

Derivative of \(e^x\)

\[ f(x) = e^x \]
\[ f'(x) = e^x \] \[ \frac{dy}{dx} = e^x \] \[ \frac{d}{dx}(e^x) = e^x \]

Derivative of \(a^x\)

\[ f(x) = a^x \]
\[ f'(x) = a^x \ln a \] \[ \frac{dy}{dx} = a^x \ln a \] \[ \frac{d}{dx}(a^x) = a^x \ln a \]

Derivative of \(\ln x\)

\[ f(x) = \ln x \]
\[ f'(x) = \frac{1}{x} \] \[ \frac{dy}{dx} = \frac{1}{x} \] \[ \frac{d}{dx}(\ln x) = \frac{1}{x} \]

Derivative of \(\log_a x\)

\[ f(x) = \log_a x \]
\[ f'(x) = \frac{1}{x \ln a} \] \[ \frac{dy}{dx} = \frac{1}{x \ln a} \] \[ \frac{d}{dx}(\log_a x) = \frac{1}{x \ln a} \]

Trig functions

\(\sin x\)

\[ f(x) = \sin x \]
\[ f'(x) = \cos x \] \[ \frac{dy}{dx} = \cos x \] \[ \frac{d}{dx}(\sin x) = \cos x \]

\(\cos x\)

\[ f(x) = \cos x \]
\[ f'(x) = -\sin x \] \[ \frac{dy}{dx} = -\sin x \] \[ \frac{d}{dx}(\cos x) = -\sin x \]

\(\tan x\)

\[ f(x) = \tan x \]
\[ f'(x) = \sec^2 x \] \[ \frac{dy}{dx} = \sec^2 x \] \[ \frac{d}{dx}(\tan x) = \sec^2 x \]

\(\cot x\)

\[ f(x) = \cot x \]
\[ f'(x) = -\csc^2 x \] \[ \frac{dy}{dx} = -\csc^2 x \] \[ \frac{d}{dx}(\cot x) = -\csc^2 x \]

\(\sec x\)

\[ f(x) = \sec x \]
\[ f'(x) = \sec x \tan x \] \[ \frac{dy}{dx} = \sec x \tan x \] \[ \frac{d}{dx}(\sec x) = \sec x \tan x \]

\(\csc x\)

\[ f(x) = \csc x \]
\[ f'(x) = -\csc x \cot x \] \[ \frac{dy}{dx} = -\csc x \cot x \] \[ \frac{d}{dx}(\csc x) = -\csc x \cot x \]

Inverse Trig Functions

\(\sin^{-1} x\)

\[ f(x) = \sin^{-1} x \]
\[ f'(x) = \frac{1}{\sqrt{1 - x^2}} \] \[ \frac{dy}{dx} = \frac{1}{\sqrt{1 - x^2}} \] \[ \frac{d}{dx}(\sin^{-1} x) = \frac{1}{\sqrt{1 - x^2}} \]

\(\cos^{-1} x\)

\[ f(x) = \cos^{-1} x \]
\[ f'(x) = -\frac{1}{\sqrt{1 - x^2}} \] \[ \frac{dy}{dx} = -\frac{1}{\sqrt{1 - x^2}} \] \[ \frac{d}{dx}(\cos^{-1} x) = -\frac{1}{\sqrt{1 - x^2}} \]

\(\tan^{-1} x\)

\[ f(x) = \tan^{-1} x \]
\[ f'(x) = \frac{1}{1 + x^2} \] \[ \frac{dy}{dx} = \frac{1}{1 + x^2} \] \[ \frac{d}{dx}(\tan^{-1} x) = \frac{1}{1 + x^2} \]

\(\cot^{-1} x\)

\[ f(x) = \cot^{-1} x \]
\[ f'(x) = -\frac{1}{1 + x^2} \] \[ \frac{dy}{dx} = -\frac{1}{1 + x^2} \] \[ \frac{d}{dx}(\cot^{-1} x) = -\frac{1}{1 + x^2} \]

\(\sec^{-1} x\)

\[ f(x) = \sec^{-1} x \]
\[ f'(x) = \frac{1}{|x|\sqrt{x^2 - 1}} \] \[ \frac{dy}{dx} = \frac{1}{|x|\sqrt{x^2 - 1}} \] \[ \frac{d}{dx}(\sec^{-1} x) = \frac{1}{|x|\sqrt{x^2 - 1}} \]

\(\csc^{-1} x\)

\[ f(x) = \csc^{-1} x \]
\[ f'(x) = -\frac{1}{|x|\sqrt{x^2 - 1}} \] \[ \frac{dy}{dx} = -\frac{1}{|x|\sqrt{x^2 - 1}} \] \[ \frac{d}{dx}(\csc^{-1} x) = -\frac{1}{|x|\sqrt{x^2 - 1}} \]

Standard Integrals

\[ \int 0 \, dx = C \]
\[ \int k \, dx = kx + C \]
\[ \int x^n \, dx = \frac{x^{n+1}}{n+1} + C, \quad n \neq -1 \]
\[ \int k x^n \, dx = k \frac{x^{n+1}}{n+1} + C, \quad n \neq -1 \]
\[ \int (ax+b)^{n}\,dx = \frac{(ax+b)^{\,n+1}}{a(n+1)} + C, \qquad n \neq -1 \]
\[ \int \frac{1}{x} \, dx = \ln|x| + C \]
\[ \int (f(x) + g(x))\,dx = \int f(x)\,dx + \int g(x)\,dx \]
\[ \int k f(x)\,dx = k \int f(x)\,dx \]

Note

Integration by Parts

\[ \int u\,dv = uv - \int v\,du \]
\[ \int f(ax+b)\,dx = \frac{1}{a}\,F(ax+b) + C \] \[ \int \frac{f'(x)}{f(x)}\,dx = \ln\!\left|f(x)\right| + C \]\[ \int f'(x)\,f(x)\,dx = \tfrac12\big(f(x)\big)^2 + C \]

Exponentials and logs

\[ \int e^x \, dx = e^x + C \]
\[ \int a^x \, dx = \frac{a^x}{\ln a} + C \]
\[ \int \frac{1}{x} \, dx = \ln|x| + C \]
\[ \int \frac{dx}{a + bx} = \frac{1}{b}\,\ln\!\left|a + bx\right| + C \]

Trig functions

\[ \int \sin x \, dx = -\cos x + C \]
\[ \int \cos x \, dx = \sin x + C \]
\[ \int \sin(ax+b)\,dx = -\frac{1}{a}\cos(ax+b) + C \]
\[ \int \cos(ax+b)\,dx = \frac{1}{a}\sin(ax+b) + C \]
\[ \int \tan x \, dx = -\ln\!\left|\cos x\right| + C \]
\[ \int \cot x \, dx = \ln|\sin x| + C \]
\[ \int \sec^{2} x \, dx = \tan x + C \]
\[ \int \tan^{2} x \, dx = \tan x - x + C \]
\[ \int \sec^2 x \, dx = \tan x + C \]
\[ \int \csc^2 x \, dx = -\cot x + C \]
\[ \int \sec x \tan x \, dx = \sec x + C \]
\[ \int \csc x \cot x \, dx = -\csc x + C \]
\[ \int \frac{1}{1+x^2} \, dx = \tan^{-1} x + C \]
\[ \int \frac{1}{\sqrt{1-x^2}} \, dx = \sin^{-1} x + C \]

Inverse Trig Functions

\[ \int \frac{1}{\sqrt{1-x^2}} \, dx = \sin^{-1} x + C \]
\[ \int \frac{1}{\sqrt{a^{2}-x^{2}}}\,dx = \sin^{-1}\!\left(\frac{x}{a}\right) + C \]
\[ \int -\frac{1}{\sqrt{1-x^2}} \, dx = \cos^{-1} x + C \]
\[ \int \frac{1}{1+x^2} \, dx = \tan^{-1} x + C \]
\[ \int \frac{1}{a^{2} + x^{2}}\,dx = \frac{1}{a}\,\tan^{-1}\!\left(\frac{x}{a}\right) + C \]
\[ \int \frac{1}{x\sqrt{x^2-1}} \, dx = \sec^{-1} x + C \]
\[ \int -\frac{1}{x\sqrt{x^2-1}} \, dx = \csc^{-1} x + C \]
\[ \int \sqrt{1 - x^{2}}\,dx = \frac12\!\left(\sin^{-1} x + x\sqrt{1 - x^{2}}\right) + C \]
\[ \int \sqrt{x^{2} - a^{2}}\,dx = \frac12\!\left( x\sqrt{x^{2}-a^{2}} - a^{2}\ln\!\left|x + \sqrt{x^{2}-a^{2}}\right| \right) + C \]
Maths Mutt logo © Alexander Forrest