Differential equations are dynamic, involving instantaneous rates of change.

Example
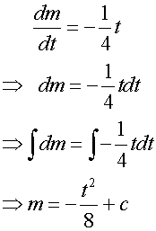
A  toy rocket ,consisting of casing and fuel, 
    is  launched at time t=0.
    The  initial total mass of the rocket is mo.
    The  fuel burns such that the mass of the rocket
    satisfies  the equation 

 Given that the mass of the casing =1/2 mo,
  for  how long does the rocket’s fuel burn ?


  

The rate at which an  object cools is 
    proportional to the  difference between its
    temperature and that of  its surroundings.

Example
The  temperature θ°C of a cup of coffee
    t minutes after it was made  is given by the
    equation

The  initial temperature of the drink is 70°C.
    5  minutes later, its temperature is 50°C.
  When is the temperature 40°C ?



Now for a temperature of40°C

  

Example
The rate of growth of a population P  is
  given by 2P  per day.
Initially, the population is 100.
    Find how long it takes for the population to double.
 


Example
The acceleration a ms-2  of a body moving in a straight line
    is given as a = 3x2  , where x is the distance from the
    origin in metres.
    When x = 1,  the body has  velocity 2 ms-1
    Find the velocity when  x = 2 


