First Principles reminder

Examples


Examples



Examples




Examples




![]()
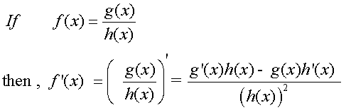
or in Leibnitz notation

Example

Longer questions use a continuation

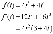
Example


Examples


Don’t forget the chain rule!


Example


Example


Example


Example


Example


Example


Example


Examples

Examples



Differentiate ax



